Erf
Возвращает значение функции ошибок.
float Math.Erf(float x)
double Math.Erf(double x)
|
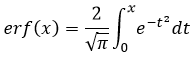
Функция ошибок – неэлементарная функция в теории вероятности и статистике, которая вычисляется по формуле:
![]() График функции:
![]() |
Параметры
|
Параметр
|
Тип
|
Описание
|
|
x
|
float, double
|
Аргумент функции
|
Возвращаемое значение
Тип – такой же, как у параметра.
Значение:
если -∞ < x < +∞:
результат – значение функции ошибок для x.
-1 < результат < 1
если x = -∞:
результат: -1
если x = +∞:
результат: 1
Примеры
Result: float = Math.Erf(0); // Результат: 0
|


