Erfc
Возвращает значение дополнительной функции ошибок.
float Math.Erfc(float x)
double Math.Erfc(double x)
|
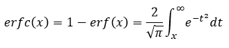
Функция ошибок – неэлементарная функция в теории вероятности и статистике, которая вычисляется по формуле:
![]() График функции:
![]() |
Параметры
|
Параметр
|
Тип
|
Описание
|
|
x
|
float, double
|
Аргумент функции
|
Возвращаемое значение
Тип – такой же, как у параметра.
Значение:
если -∞ < x < +∞:
результат – значение обратной функции ошибок для x.
0 < результат < 2
если x = -∞:
результат: 2
если x = +∞:
результат: 0
Примеры
Result: float = Math.Erft(0); // Результат: 1
|


