5.5.2.2.3.1.6.3.2. TYP_COMP_T | РАСХОД С КОМПЕНСАЦИЕЙ ПО ТЕМПЕРАТУРЕ


TYP_COMP_T
Данная схема позволяет компенсировать отклонение температуры при измерении расхода. Измерение расхода основано на плотности газа при расчетной температуре. Измеренный расход должен быть скорректирован в случае, если фактическая температура в процессе отличается от расчетной.
Входными сигналами для блока компенсации будут температура и расход. Температурная коррекция осуществляется с помощью
стандартного расчетного блока TPCFL. Формула для компенсации расхода запрограммирована в этом блоке.
Для контура температурной компенсации необходимо выполнить настройки в соответствии с таблицей
таблице ниже:
|
Параметр
|
Элемент данных
|
Настройки
|
|
Компенсация
|
Корректирующий расчет
|
Коррекция температуры
|
|
Температура
|
Ед.изм. температуры
|
°C
|
|
Эталонная температура
|
Tb
|
°C
|
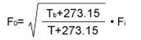
При расчете температурной коррекции выполняется только расчет коррекции температуры, при этом измеряется расход Fi, опорная температура Tb и измеряемая температура T. Выражение для расчета коррекции показано ниже.
, гдеFi : Измеренный расход
Fo : Корректированный расход
T : Измеренная температура, °C
Tb : Эталонная температура, °C
|
Функция тревоги
В случае открытия входа (IOP) или состояния данных BAD блок TPCFL автоматически формирует сигнал тревоги IOP. При отказе входного сигнала расхода расчет останавливается и сохраняет последнее рассчитанное значение.
Функциональная блок-схема
Функциональная блок-схема:


, где